The pages in this attached collection of images were published on the internet in russbo.com on a day by day basis in August / September 2000, as these events were unfolding. Messages were sent to me, via friends that I had had in Shaolin at the time. No news organizations were aware of these events at the time of their publication on russbo.com. The Chinese had prevented news people from entering the area. In fact, russbo.com became a source of information for various news organizations, politicians, and, eventually, the Voice of America.

It was the Voice of America that brought this event to public attention. And they did so, at the United Nations… The uproar and embarrassment that followed went from the Chinese ambassador straight to the vice presidency of China., who, at that time, was a friend of Shi Yong Xin’s. This brought a sudden end to the destruction of Shaolin village. At least, for a while….

Eventually, the government tore down the Shaolin area the following year, but did so in a more humane fashion. People were reimbursed, moved, and housed. Schools were given huge tax breaks and other opportunities to relocate. The Shaolin area was eventually turned into an amusement area of beauty.

Russbo.com had received international recognition. And I had become a pariah…

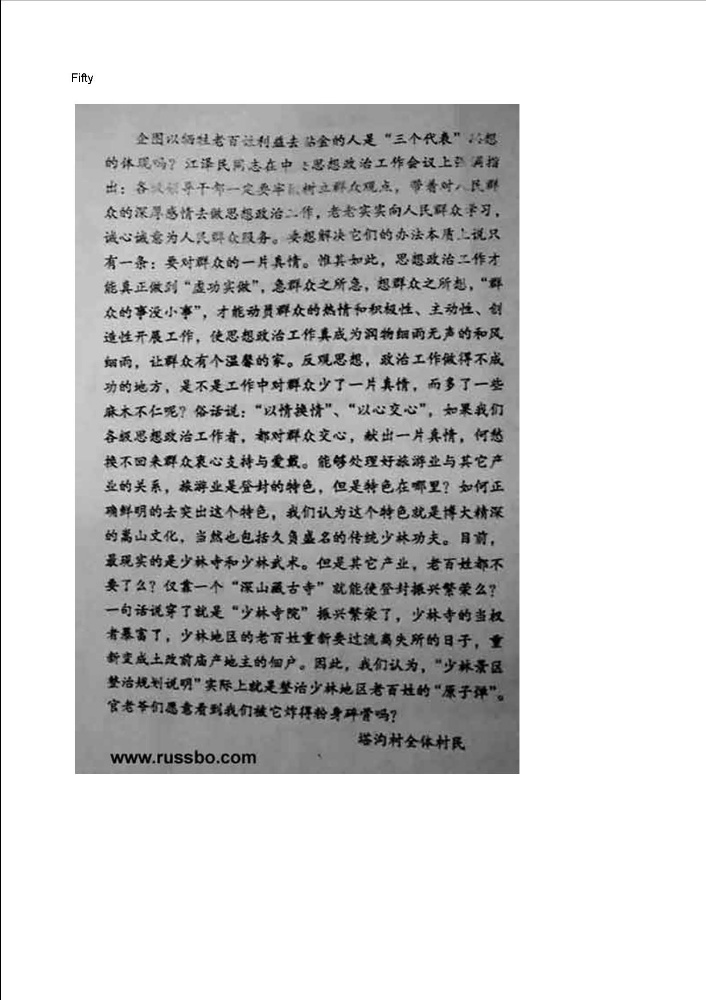
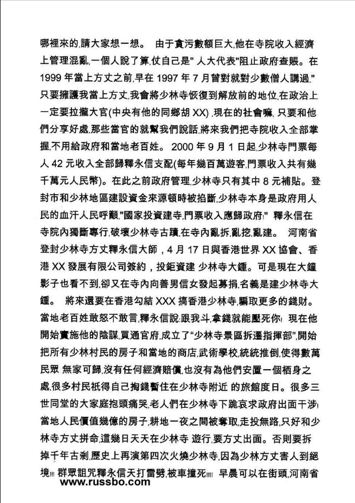
The denouement of the Shaolin Village destruction history, presented on a fairly daily basis, as it had happened. Taken direct from the pages of an older version of russbo.com, this book describes the eventual resolution of this historical and tragic event.

This is the story. There are approximately 76 pages to click through.

 

Click to open and read:

 

 

 

 

 

 

 

 

 

{jcomments on}

.